1. 개요
1) 소요 차로수 산정은 도로사업의 규모 및 사업비를 결정하기 위한 중요 과정
2) 주요 영향요소는 AADT, K, D, PHF 등이 있음
① AADT는 365일 동안 조사한 24시간 교통량의 평균값으로 연평균일교통량
② 설계시간계수(K)는 경제적 도로건설을 위한 핵심 변수로 연평균일교통량에 대한 설계시간 교통량의 비율 (K=DHV/AADT)
③ 중방향계수(D)는 양방향 교통량에 대한 중방향 교통량 비율
④ 설계시간 교통량(DHV)은 도로설계의 기준이 되는 교통량으로 설계구간 1시간 양방향 교통량
3) 소요 차로수 산정 신뢰성 향상을 위한 상시조사지점 확대 및 ICT(정보통신기술, Information and Communications Technology) 활용 교통량조사 필요
2. 소요 차로수 산정
1) 필요성
- 도로시설 규모 산정의 기초 자료 제공
- 도로 사업 시 적정 사업 규모 결정 필요
2) 분석절차

3) 영향요소
- AADT(연평균일교통량), K(설계시간계수), D(중방향계수)
- PHF(첨두시간계수), MSFi(최대서비스교통량)
- fw(차로폭 보정계수), fHV(중차량보정계수)
※ PHF는 첨두 1시간 교통량을 15분 교통량의 1시간 환산 교통량으로 나눈 값 [1시간 교통량 / (4 ×15분 교통량)]
4) 산정식

PDDHV = 첨두시 설계시간 교통량
SFi = 공급 서비스 교통량
MSFi = 설계속도 100kph LOS D 기준 1,750pcphpl

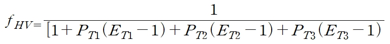
PTn = 중차량비율
ETn = 승용차 환산계수
※ 승용차환산계수(고속도로, 다차로도로 등)
| 구분 | 평지 | 구릉지 | 산지 |
| 소형(2.5톤 미만 트럭, 16인승 미만 버스) | 1.0 | 1.2 | 1.5 |
| 중형(2.5톤 이상 트럭, 16인승 이상 버스) | 1.5 | 3.0 | 5.0 |
| 대형(세미 또는 풀 트레일러) | 2.0 |
※ 구릉지 : 종단 2~5%, 산지 : 종단 5% 이상, 특정경사 : 종단 3% 이상, 구간길이 500m 이상
3. 설계시간계수(K-factor)
1) 개념
- 연평균일교통량(AADT)을 설계시간 교통량(DHV)으로 산정하기 위한 계수
- 도로의 소요 차로수 분석 시 주요 변수 중 하나
2) 특징
- AADT가 클수록 K값 감소
- K가 클수록 교통수요 변동 큼
- 관광지 > 지방지역 > 도시지역 순
- K계수가 너무 크면 설계 시 비경제적, 너무 작으면 교통혼잡
3) 산정방법
- 1년 시간교통량을 높은 교통량부터 차례로 배열
- 각 시간교통량을 나타내는 점들을 매끄러운 곡선으로 연결
- 곡선 기울기가 급격히 변하는 지점 선정 (보통 30번째 값 적용, 관광지 100번째 적용)
4) 도로별, 지역별 적용 값
| 구 분 | 도시지역 | 지방지역 | 관광지역 | |
| 일반국도 | 2차로 | 0.12 | 0.16 | 0.23 |
| 4차로 | 0.10 | 0.12 | 0.14 | |
| 고속국도 | 0.10 | 0.14 | ||
※ ADT : 평균일교통량
※ AWT : 평균요일교통량
※ 설계시간교통량(DHV) = AADT × K
※ 중방향 설계시간 교통량(DDHV) = AADT × K × D
※ 조사교통량을 AADT로 산정 : AADT = 일교통량/(월보정계수 × 요일보정계수)
3. 결론
1) 소요 차로수 분석은 도로사업에 있어 사업규모 및 사업비 결정에 있어 핵심 분석 과정임
2) AADT, K, D, 요일·월변동계수 등 주요 영향요소 도로교통량 통계연보 상시조사지점 자료 제공
3) 그러나, 일부 지방지역 도로사업 시 영향권 외 상시조사지점 위치로 부득이 지역 및 도로 특성과 다른 K, D값 적용으로 신뢰성 저하 (일반적으로 도로용량편람 제시 값 적용)
4) 향후 교통조사와 ICT 융합을 통한 상시조사지점 확대 및 조사결과 신뢰성 향상 필요
5) ICT기술을 활용한 교통량조사 Big Data 활용방안
- 승용·버스·화물 차량에 IOT센서 보급 확대
- AI기반 자동 집계·분석 시스템 연구·개발
- Cloud Computing 기술 활용 정보 저장공간 구축
- 개인정보 활용 및 보호를 위한 데이터 3법 개정 필요
※ 최근(2017년~) 기출 출제 횟수 : 4회
- 2018년 114회 4교시 : 설계시간계수(K)의 정의와 국내에서 일반적으로 적용되는 산출방법을 설명하고, 도로유형별, 지역별 적용범위를 설명하시오
- 2019년 117회 1교시 : 특정일 하루(24시간) 조사교통량을 연평균일교통량(AADT)으로 환산하는 방법
- 2020년 122회 4교시 : 도로 계획 및 설계 시, 차로수를 결정하기 위한 절차와 방법에 대하여 설명하시오
- 2022년 128회 4교시 : 도로의 설계시간계수와 설계시간교통량에 대하여 설명하시오
'06. 도로용량편람' 카테고리의 다른 글
| 신호교차로 서비스수준(LOS) (0) | 2024.03.14 |
|---|